网站首页  词典首页


请输入您要查询的字词:

 

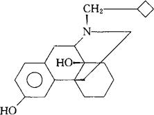
字词 布托啡诺
类别 中英文字词句释义及详细解析
释义 布托啡诺

C21H29NO2=327.47

CAS-42408-82-2

(-)-17-(环丁基甲基)吗啡喃-3,14-二醇。

(-)-17-(Cyclobutylmethyl)morphinan-3,14-diol.

镇痛止咳药。

环丁啡诺。

Butorphanol,Levo-BC-2627.

INN,BAN,DCIT,NFN,USAN,USP,MI.

随便看

 

离鸟网收录3541549条中英文词条,其功能与新华字典、现代汉语词典、牛津高阶英汉词典等各类中英文词典类似,基本涵盖了全部常用中英文字词句的读音、释义及用法,是语言学习和写作的有利工具。

 

Copyright © 2004-2024 vtrois.com All Rights Reserved
更新时间:2026/4/18 5:29:28