网站首页  词典首页


请输入您要查询的字词:

 

字词 布地奈德
类别 中英文字词句释义及详细解析
释义 布地奈德

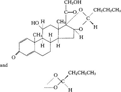
C25H34O6=430.54

CAS-51333-22-3(β,16α)

CAS-51372-29-3[(11β,16α[R]]

CAS-51372-28-2[(11β,16α[S])]

16,17-亚丁基双(氧)-11,21-二羟基孕甾-1,4-二烯-3,20-二酮,[11β,-16α(17R)]和16α,17-[(S)-亚丁基双(氧)]-11β,21-二羟基孕甾-1,4-二烯-3,20-二酮的混合物。

16,17-Butylidenebis(oxy)-11,21-dihydroxypregna1,4-diene-3,20-dione,[11β,16α(17R)]and 16α,17-[(S)-butylidenbis(oxy)]-11β,21-dihydroxypregna1,4-diene-3,20-dione.

(RS)-11β,16α,17,21-四羟基孕甾-1,4-二烯-3,20-二酮环16,17-缩丁醛。

(RS)-11β,16α,17,21-Tetrahydroxypregna-1,4-diene-3,20-dione cyclic 16,17-acetal with butyraldehyde.

肾上腺皮质激素类药。消炎镇痛药。

Budesonide,S-1320.

INN,BAN,USAN.

注:布地奈德是一种有二个异构体的混合物。

[(11β,16α[S])]的含量可能在40%~51%之间。

随便看

 

离鸟网收录3541549条中英文词条,其功能与新华字典、现代汉语词典、牛津高阶英汉词典等各类中英文词典类似,基本涵盖了全部常用中英文字词句的读音、释义及用法,是语言学习和写作的有利工具。

 

Copyright © 2004-2024 vtrois.com All Rights Reserved
更新时间:2026/4/19 12:41:30