网站首页  词典首页


请输入您要查询的字词:

 

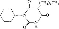
字词 布可比妥
类别 中英文字词句释义及详细解析
释义 布可比妥

C14H22N2O3=266.34

CAS-841-73-6

5-丁基-1-环己基巴比土酸。

5-Butyl-1-cyclohexylbarbituric acid.

消炎镇痛药。

布可隆。

Bucolome,Paramidin.

INN,DCIT,JAN,NFN,USAN,MI.

随便看

 

离鸟网收录3541549条中英文词条,其功能与新华字典、现代汉语词典、牛津高阶英汉词典等各类中英文词典类似,基本涵盖了全部常用中英文字词句的读音、释义及用法,是语言学习和写作的有利工具。

 

Copyright © 2004-2024 vtrois.com All Rights Reserved
更新时间:2026/4/19 1:59:59