网站首页  词典首页


请输入您要查询的字词:

 

字词 布他前列素
类别 中英文字词句释义及详细解析
释义 布他前列素

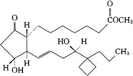
C24H40O5=408.58

CAS-69648-38-0

3-羟基-2-[4-羟基-4-(1-丙基环丁基)-1-丁烯基-[5-氧-环戊烷庚酸甲酯,[1R-[1α-2β(1E,4R),3α]]。

3-Hydroxy-2-[4-hydroxy-4-(1-propylcyclobutyl)-1-butenyl]-5-oxo-cyclopentaneheptanoic acid,methylester,[1R-[1α,-2β(1E,4R),3α]]-.

(1R,2R,3R)-3-羟基-2-[(1E,4R)-4-羟基-4-(1-丙基环丁基)-1-丁烯基]-5-氧环戊烷庚酸甲酯。

Methyl(1R,2R,3R)-3-hydroxy-2-[(1E,4R)-4-hydroxy-4-(1-propylcyclobutyl)-1-butenyl]-5-oxoclopentaneheptanoate.

前列腺素类药,支气管扩张药。

Butaprost,TR-4979,Bay q 4218.

INN,BAN,USAN.

随便看

 

离鸟网收录3541549条中英文词条,其功能与新华字典、现代汉语词典、牛津高阶英汉词典等各类中英文词典类似,基本涵盖了全部常用中英文字词句的读音、释义及用法,是语言学习和写作的有利工具。

 

Copyright © 2004-2024 vtrois.com All Rights Reserved
更新时间:2026/4/21 11:47:00