网站首页  词典首页


请输入您要查询的字词:

 

字词 巴马斯汀
类别 中英文字词句释义及详细解析
释义 巴马斯汀

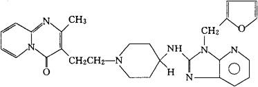
C27H29N7O2=483.57

CAS-99156-66-8

3-[2-[4-[(3-糠基-3H-咪唑并[4,5-b]吡啶-2-基)氨基]哌啶基]乙基]-2-甲基-4H-吡啶并[1,2-α]嘧啶-4-酮。

3-[2-[4-[(3-Furfury1-3H-imidazo[4,5-b]pyridin-2-yl)amino]piperidino]ethyl]-2-methyl-4H-pyrido[1,2-a]pyrmidin-4-one.

抗组胺药。

巴尔马酮。

Barmastine,R57959.

INN,USAN.

随便看

 

离鸟网收录3541549条中英文词条,其功能与新华字典、现代汉语词典、牛津高阶英汉词典等各类中英文词典类似,基本涵盖了全部常用中英文字词句的读音、释义及用法,是语言学习和写作的有利工具。

 

Copyright © 2004-2024 vtrois.com All Rights Reserved
更新时间:2026/4/19 4:12:13