网站首页  词典首页


请输入您要查询的字词:

 

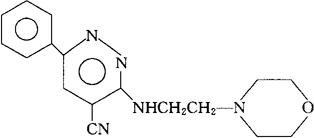
字词 巴嗪普令
类别 中英文字词句释义及详细解析
释义 巴嗪普令

C17H19N5O=309.37

CAS-94011-82-2

3[(2-吗啉乙基)氨基]-6-苯基-4-哒嗪腈。

3-[(2-Morpholinoethyl) amino]-6-pheny1-4-pyridazinecarbonitrile.

抗抑郁药。

Bazinaprine.

INN,USAN.

随便看

 

离鸟网收录3541549条中英文词条,其功能与新华字典、现代汉语词典、牛津高阶英汉词典等各类中英文词典类似,基本涵盖了全部常用中英文字词句的读音、释义及用法,是语言学习和写作的有利工具。

 

Copyright © 2004-2024 vtrois.com All Rights Reserved
更新时间:2026/4/18 9:32:58