网站首页  词典首页


请输入您要查询的字词:

 

字词 巴他必利
类别 中英文字词句释义及详细解析
释义 巴他必利

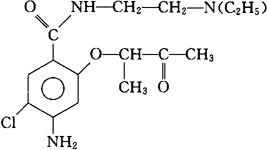
C17H26ClN3O3=355.86

CAS-102670-46-2

(±)-4-氨基-5-氯-N-[2-(二乙氨基)乙基]-2-[(1-甲基丙酮基)氧]苯酰胺。

(±)-4-Amino-5-chloro-N-[2-(diethylamino)ethyl]-2-[(1-methylacetonyl)oxy]benzamide.

止吐药。

Batanopride.

INN,USAN.

随便看

 

离鸟网收录3541549条中英文词条,其功能与新华字典、现代汉语词典、牛津高阶英汉词典等各类中英文词典类似,基本涵盖了全部常用中英文字词句的读音、释义及用法,是语言学习和写作的有利工具。

 

Copyright © 2004-2024 vtrois.com All Rights Reserved
更新时间:2026/4/19 9:05:58