网站首页  词典首页


请输入您要查询的字词:

 

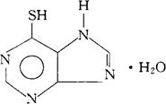
字词 巯嘌呤[典]
类别 中英文字词句释义及详细解析
释义 巯嘌呤[典]

C5H4N4S·H2O=170.19

CAS-6112-76-1

1,7-二氢-6H-嘌呤-6-硫酮一水化合物。

1,7-Dihydro-6H-purine-6-thione monohydrate.

6-巯基嘌呤,一水化合物。

6-Mercaptopurine,monohydzate.

抗肿瘤药。

用于急性白血病。

巯基嘌呤,硫醇嘌呤(台)。

Mercaptopurine,Purinetho l,6-MP.

巯嘌呤片(乐疾宁片)。

INN,BP,BAN,DCIT,EP,FP,GDP,IP,JP,NFN,NP,USAN,USP,USSRP,MI.

随便看

 

离鸟网收录3541549条中英文词条,其功能与新华字典、现代汉语词典、牛津高阶英汉词典等各类中英文词典类似,基本涵盖了全部常用中英文字词句的读音、释义及用法,是语言学习和写作的有利工具。

 

Copyright © 2004-2024 vtrois.com All Rights Reserved
更新时间:2026/4/18 0:07:02