差动轮系的效率
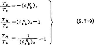
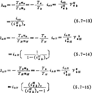
如图5.7-7所示,其中图a)为2K-H型差动轮系。当轮系等速运转时,作用在基本构件上的外力矩之和等于零,即 Ta+Tb+TH=0 (5.7-6) 用上式确定外力矩的关系时,应带入正负号。基本构件上作用的外力矩与其绝对转速的乘积(Tn),称为绝对功率或轴功率。当Tn>0时,其轴功率为正,即为输入功率;Tn<0时,其轴功率为负,即为输出功率。 对轮系加一公共转速(-nH),得轮系的转化机构,如图b)所示。这时两中心轮传递的功率分别为 和 ,这种功率称相对功率或啮合功率。当 时,啮合功率由轮a流向轮b,得  当 时,啮合功率由轮b流向轮a,得  联立解式(5.7-6)、(5.7-7)和(5.7-8),可得出差动轮系基本构件作用外力矩的关系式,  式中( )v为当量传动比,与啮合功率流动方向有关。当啮合功率从轮a流向轮b时, ( )v= 当啮合功率从轮b流向轮a时,  在差动轮系中,用γ表示三个基本构件中任意两个的相对功率(啮合功率)之比,即  式中Ta/Tb、Ta/TH、Tj/TH的值,当考虑啮合损失时。可用式(5.7-9)计算。 在差动轮系中,当考虑啮合损失时,其任意两基本构件的轴功率之比用λ表示,得  一般情况下,差动轮系的效率η可以表示为输出功率与输入功率之比。例如,对于一分配机构,若其系杆H为输入,中心轮a和b为输出,则其传动效率为  对于一合成机构,若其中心轮a和b为输入,系杆H为输出,则传动效率为  由上述分析可看出,差动轮系的效率与其工作状况、转化机构的传动比和转化机构的效率ηH有关。在差动轮系中,根据输入输出的不同情况,其效率计算可能有六种组合,见表5.7-2。 表5.7-2 效率计算的组合  |