网站首页  词典首页


请输入您要查询的字词:

 

字词 差动液压缸的能耗问题
类别 中英文字词句释义及详细解析
释义 差动液压缸的能耗问题

差动液压缸是指存在两腔同时通油的工况,利用两端有效工作面积之差实现快速运动的一种单活塞杆缸。由于背腔排油全部被利用,提高了流量利用率,但力的输出是有损失的,其能耗补偿问题值得注意。

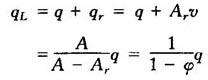
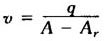
图4.3-2为差动液压缸连接示意图,F为包括摩擦力在内的负载力,有杆腔有效面积Ar和活塞面积A之比为φ,令差动快速运动速度为v,则

这时实际进入无杆腔的负载流量ql为

差动工况下的力平衡方程为

式中pr为有杆腔压力。若实际差动联接如图示,背腔回油汇入前腔流道上没有任何阀类阻挡,管道流阻也很小,则可近似地认为

上述结果说明负载压力增高的倍数只有在差动连接流道上无流动阻力时,才正好与泵流量降低的倍数一致。若考虑到实际差动联接流道上一定要有控制阀,一定会产生压力损失,有时还会达到相当可观的数值(将在下节分析中予以说明),则差动联结时负载压力增高的倍数会明显地大于泵流量减小的倍数。故仅就快进工况而言,不但不能达到节能的目的,反而会有更多的能耗。但是,由于系统设计时,泵流量可按负载流量的(1-φ)倍选用,以最常用的差动液压缸φ=1/2考虑,则差动缸实现快进时泵的流量只需非差动缸时的一半,因此将会明显减少快速运动以外的其它工况下的能耗。这不仅可以抵消差动连接中的额外附加能耗,而且在大多数情况下,节能效果仍是十分明显的。

随便看

 

离鸟网收录3541549条中英文词条,其功能与新华字典、现代汉语词典、牛津高阶英汉词典等各类中英文词典类似,基本涵盖了全部常用中英文字词句的读音、释义及用法,是语言学习和写作的有利工具。

 

Copyright © 2004-2024 vtrois.com All Rights Reserved
更新时间:2026/4/18 9:50:01