网站首页  词典首页


请输入您要查询的字词:

 

字词 巨霉素磷酸钾
类别 中英文字词句释义及详细解析
释义 巨霉素磷酸钾

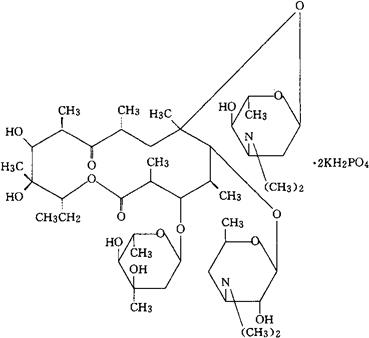
C44H80N2O15·2KH2PO4=1149.29

CAS-51481-68-6

CAS-28022-11-9(megalomicin)

巨霉素A和磷酸二氢钾加成化合物(1∶2)。

Megalomicin A compound with potassium dihydrogen phosphate(1∶2).

(3R,4S,5S,6R,7R,9R,11R,12R,13R,14R)-4-[(2,-6-二去氧-3-C-甲基-α-L-己吡喃核糖基)氧]-14-乙基-12,13-二羟-3,5,7,9,11,13-六甲基-7-[[2,3,6-三去氧-3-(二甲氨基)-α-L-己吡喃核糖基]氧]-6-[[3,4,-6-三去氧-3-(二甲氨基)-β-D-木-己吡喃糖基]氧]氧杂环十四(碳)烷-2,10-二酮与磷酸二氢钾(1∶2)的化合物。

(3R,4S,5S,6R,7R,9R,11R,12R,13R,14R)-4-[(2,-6-Dideoxy-3-C-methyl-α-L-ribohexopyranosyl)oxy]-14-ethyl-12,13-dihydroxy-3,5,7,9,11,13-hexamethyl-7-[[2,3,6-trideoxy-3-(dimethylamino)-α-L-ribohexopyranosyl]oxy]-6-[[3,4,6-tridioxy-3-(dimethylamino)-β-D-xylo-hexopyran-osyl]oxy]oxacyclotetradecane-2,10-dione,compound with potassium dihydugen phosphate(1∶2).

抗生素类药。

美加米星磷酸钾。

Megalomicin Potassium Phosphate,Sch 13430,2KH2PO4

INN(Megalomicin),USAN.

随便看

 

离鸟网收录3541549条中英文词条,其功能与新华字典、现代汉语词典、牛津高阶英汉词典等各类中英文词典类似,基本涵盖了全部常用中英文字词句的读音、释义及用法,是语言学习和写作的有利工具。

 

Copyright © 2004-2024 vtrois.com All Rights Reserved
更新时间:2026/4/20 18:58:36