网站首页  词典首页


请输入您要查询的字词:

 

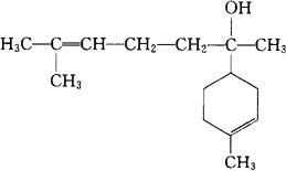
字词 左美诺醇
类别 中英文字词句释义及详细解析
释义 左美诺醇

C15H26O=222.37

CAS-23089-26-1

(-)-6-甲基-2-(4-甲基-3-环己烯-1-基)-5-庚烯-2-醇。

(-)-6-Methyl-2-(4-methyl-3-cyclohexen-1-yl)-5-hepten-2-ol.

抗炎药,解痉药。

Levomenol.

INN,USAN.

随便看

 

离鸟网收录3541549条中英文词条,其功能与新华字典、现代汉语词典、牛津高阶英汉词典等各类中英文词典类似,基本涵盖了全部常用中英文字词句的读音、释义及用法,是语言学习和写作的有利工具。

 

Copyright © 2004-2024 vtrois.com All Rights Reserved
更新时间:2026/4/21 18:23:08