网站首页  词典首页


请输入您要查询的字词:

 

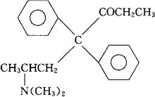
字词 左美沙酮
类别 中英文字词句释义及详细解析
释义 左美沙酮

C21H27NO=309.45

CAS-125-58-6

(-)-(R-)6-(二甲氨基)-4,4-二苯基-3-庚酮。

(-)-(R-)6-(Dimethylamino)-4,4-diphenyl-3-heptanone.

镇痛药。

Levomethadone.

INN,USAN.

随便看

 

离鸟网收录3541549条中英文词条,其功能与新华字典、现代汉语词典、牛津高阶英汉词典等各类中英文词典类似,基本涵盖了全部常用中英文字词句的读音、释义及用法,是语言学习和写作的有利工具。

 

Copyright © 2004-2024 vtrois.com All Rights Reserved
更新时间:2026/4/20 8:29:58