网站首页  词典首页


请输入您要查询的字词:

 

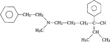
字词 左依莫帕米
类别 中英文字词句释义及详细解析
释义 左依莫帕米

C23H30N2=334.50

CAS-101238-51-1

(-)-(S)-2-异丙基-5-(甲基苯乙氨基)-2-苯戊腈。

(-)-(S)-2-Isopropyl-5-(methylphenethylamino)-2-phenylvaleronitrile.

血管扩张药。

Levemopamil.

INN,USAN.

随便看

 

离鸟网收录3541549条中英文词条,其功能与新华字典、现代汉语词典、牛津高阶英汉词典等各类中英文词典类似,基本涵盖了全部常用中英文字词句的读音、释义及用法,是语言学习和写作的有利工具。

 

Copyright © 2004-2024 vtrois.com All Rights Reserved
更新时间:2026/4/18 11:41:44