网站首页  词典首页


请输入您要查询的字词:

 

字词 工资的计算
类别 中英文字词句释义及详细解析
释义 工资的计算

1.计时工资的计算

❶ 月薪制工资的计算

[说明]指按全勤月标准工资扣除缺勤工资则为应付工资。

[公式] I=I1-K+I2+I3+I4 (5-1-14)

K=da+d2ab (5-1-15)

a= (5-1-16)

式中 I——应付工资(元)

I1——全勤月标准工资(元)

K——缺勤扣款(元)

I2——经常性的奖金(元)

I3——工资性的各种津贴(元)

I4——其他工资(元)

d——事假、矿工天数(天)

a——日工资率(元)

d2——病假天数(天)

b——病假扣款率(%)

d0——每月天数(可用30天或25.5天)

❷ 日薪制工资的计算

[公式] I0=d3a+I2+I3+I4+d2ab (5-2-17)

式中 I0——日薪工资(应付工资)(元)

d3——出勤天数(天)

其它同上

2.个人计件工资的计算

❶ 无限计件工资的计算

[说明]指不论工人完成或超额完成定额水平如何,都按照统一的计件单价来计算工资。

[公式] K=∑[(W+n)·h] (5—2-18)

式中 K——无限计件工资(元)

W——合格品实际产量

n——废料产量

h——计件单价(元/件)

❷ 有限计件工资的计算

[公式] K1=W1(1+y)h (5—2-19)

式中 K1——有限计件工资(元)

W1——定额产量

y——产量最高限额率(%)

h——计件单价(元/件)

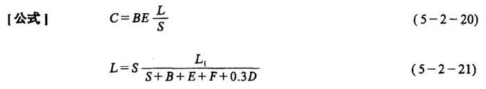
3、浮动工资的计算

[说明]指企业的工资总额同经济效益挂钩按其一定的浮动比例计算的工资基金。

式中 C——当年新增工资额(元)

B——上年工资总额基数(不包括国家规定的原材料、燃料节约奖和副食品价格补贴)(元)

L——当年上交税利净增加额(元)

E——工资浮动系数

S——上年上交税利基数(元)

L1——当年上交税利毛增加款(元),指新增加工资未计入成本以前上交税利增加额

F——所得税(元)

D——调节税率

随便看

 

离鸟网收录3541549条中英文词条,其功能与新华字典、现代汉语词典、牛津高阶英汉词典等各类中英文词典类似,基本涵盖了全部常用中英文字词句的读音、释义及用法,是语言学习和写作的有利工具。

 

Copyright © 2004-2024 vtrois.com All Rights Reserved
更新时间:2026/4/21 0:36:38