网站首页  词典首页


请输入您要查询的字词:

 

字词 工质的物性参数
类别 中英文字词句释义及详细解析
释义 工质的物性参数

各种理想气体具有的一个共性是:在任何状态下,各种理想气体的三个基本状态参数之间都保持同一比较简单的关系式:f(p,v,T)=o。该关系式称作状态方程式。各种状态方程式的具体形式为:

对1kg气体,pv=RT (1.4-6)

式中 R为千克气体常数,J/(kg·K)。它是气体的物性参数,对不同的气体,其值是各不相同的,详见表1.4-2。

表1.4-2 气体的热力学性质

❷ 直线比热

c=a+bt (1.4-25)

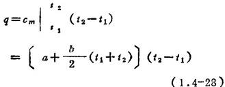
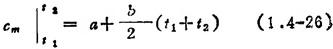
t1与t2间的平均比热为

0℃到某温度t之间的平均比热为

各种理想气体按直线关系所求得的值可查表1.4-5。

表1.4-5 气体的直线平均比热(0~1500℃适用)

如此,即可方便地求出吸热量:

❸ 定值比热

对热力学问题进行定性分析而在精度要求不高时,可当比热值为常数,即定值比热。于是,吸热量等于

q=c(t2-t1)

由气体分子运动论推算出的各种原子数气体的定值千克摩尔比热的大致数值列于表1.4-6.

表1.4-6 气体定值千克摩尔比热

注:μR=8413.3J/(kmol·K),为通用气体常数,是:此处的R应是混合气体的平均千克气体常数,改用符号Rm;而μ应为混合气体的平均分子量,改用符号μm

随便看

 

离鸟网收录3541549条中英文词条,其功能与新华字典、现代汉语词典、牛津高阶英汉词典等各类中英文词典类似,基本涵盖了全部常用中英文字词句的读音、释义及用法,是语言学习和写作的有利工具。

 

Copyright © 2004-2024 vtrois.com All Rights Reserved
更新时间:2026/4/17 20:25:00