网站首页  词典首页


请输入您要查询的字词:

 

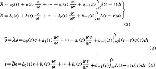
字词 工程结构流变问题
类别 中英文字词句释义及详细解析
释义 工程结构流变问题

工程结构的流变问题是流变学在工程结构中的应用。

工程结构的蠕变现象在19世纪已观察到,但它的真正性质到本世纪初才发现。1907年美国材料试验学会(ASTM)首先报导了钢筋砭梁的蠕变资料。1910年E.N.Ha Andrede首先揭示了金属蠕变三阶段概念。到本世纪30年代,关于工程结构的蠕变现象、特性和基本理论大体形成,以后又进一步发现应力松弛现象。

从20世纪30年代至今的60年中,有关砭结构与金属结构等的流变问题取得巨大进展,现已查明,砭结构在不变持续荷载作用下,变形随时间不断增长,其数值可达瞬时弹性变形的1~3倍。在预应力钢筋砭结构中,由于应力松弛引起预应力逐渐丧失的现象。

而且由于流变,结构中的应力应变状态也为之改观,因此,在结构设计中,流变是个不可忽视的因素。以下简要介绍若干工程结构的流变问题。

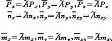
线粘弹性梁 前捷克斯洛伐克Zdenek Sobatkm提出了等价应力,等价应变等一系列有关概念,并把微分型和积分型合并,抽象出微分-积分算子概念,对工程结构粘弹性体进行了系统的研究,导出了一系列新结论。由于引进了“等价”概念,普遍虎克定律仍成立。

分别称为等价应力和等价应变。

E0(x,y,z,t)-普遍弹性模量,它与坐标及时间有关。

定义微分-积分算子:

类似地定义:等价曲率 等价挠度 等价弯矩 等价剪力 等价荷载 对于粘弹性梁,假定“平面假设”仍成立,于是有

式中,C-曲率,W-挠度。由(1)、(5)式,有

由材力知

两端作用算子Ã,则

式中,对质心的惯性矩,F-横截面。

由(6),(7)得

与受纯弯曲的弹性梁的正应力公式有相似形式。

对于弹性梁,弯矩、剪力、荷载有如下关系:

两端分别作用算子Ã,则得

(7)式代入(9)第三式,得

与弹性梁结果类似。

线粘弹性刚架 粘弹性刚架的转角和位移的有关公式,如弹性刚架一样可借助虚功原理导得。

在弯矩M作用下弹性杆单元ds的转角为

结合(1)、(5)、(8)式可导得粘弹性杆单元的等价微分转角为

定义

等价转角

等价轴力

等价扭矩

等价扭角

看成虚值,直接应用虚功原理,或先对W、dφ应用虚功原理,然后作用以算子均可得

把(11)式代入,得

式中M0及后文将用到的Q0、.Nt、Mt0分别表示在所求位移方向作用的单位力引起的弯矩、剪力、轴力和扭矩。

应用虚功原理,类似地可得由等价剪力引起的等价位移(挠度)

式中k为剪应力分布不均系数,G0为普遍剪切模量。

类似地,可得由等价轴力引起的等价挠度,等价扭矩引起的等价扭角。

于是,由等价弯矩、剪力、轴力、扭矩引起的总等价位移为

(15)

线粘弹性板

定义:

等价应力分量

等价应变分量

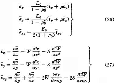
线性各异体向性的等价应力-应变关系为

式中Cijkl(x,y,z,t)为各向异性普遍四阶张量。

由弹性薄板理论知

引用张量,偏导数下标记法,记为

作用以算子,有

(17)

代入(16)式,则有

由弹性理论知,单位长度板的弯矩可表为

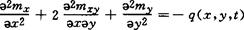
弯矩平衡方程的张量表达式为

mij,ij=-q(x,y,t)

对它们分别作用以算子Ã,则有

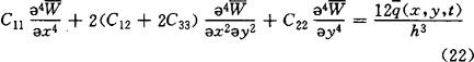
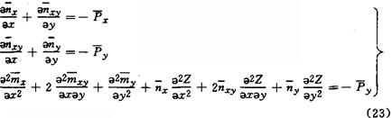
若沿板厚各向一致异性,将(19)连(18)式代入(20)式,则得

对于均匀厚度一致正交板,则有

与弹性薄板受横向荷载弯曲时的位移方程

有类似形式。

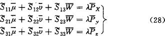
线粘弹性壳 考虑-薄壳单元,由力的平衡,得3个平衡方程,并分别作用以算子Ã,得粘弹性薄壳的等价平衡方程如下:

式中分别为x、y、z轴方向的等价荷载分量;分别为法向和切向等价合力分量;分别为等价弯矩和扭矩。且

等价应力合力分量和等价应力合力偶为

式中,当i=j时,分别为

S是局部坐标,表达任意点到薄壳中性面的垂直距离。

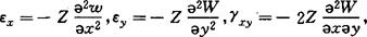
妨弹性理论,可得等价应力、应变关系的物理方程,等价应变、位移关系的几何方程。忽略法向应力及剪应力对垂直于中性面方向的变形的影响,对一致正交的粘弹性壳有:

式中、分别是x、y、z方向的等价位移分量。

z=z(x,y)是中性面方程。

(26)连同(27)式分别代入(24)、(25)式,得,再代入(23)式,乃得基本微分方程组:

式中是复杂线性微分算子,例如

以上介绍,借助微分一积分算子及等价变量概念,推导粘弹性梁、板、壳的若干主要结果的一般方法。其实,对每种结构,可根据实际材料的流变特性及其流变模型,直接推导具体本构关系。

我们仅就线粘弹性体而论,对于非线性粘弹性体,也可得出相应方程,只是形式更为复杂。

。【参考文献】:

1 Ponter A R S, Hayhurst D R. Creep in Structures, 3rd IU-TAM Symposiuin, Leicester, UK, 1980

2 Spinger - rerlag Berlin Heidelterg New York,1981

3 Zdeněk Sobatka. Rheology of Materials and Engineering Structures, ACADEMIA Prague, 1984

4 Irving H. Shames, Elastic and Inelastic Stress Analysis Prentice-Hall, Inc. New Jersey, 1992

5 Reiner M. Deformation, Strain and Flow, The Whitefriars Press Ltd. , 1960

(上海城市建设学院陈德坤教授撰)

随便看

 

离鸟网收录3541549条中英文词条,其功能与新华字典、现代汉语词典、牛津高阶英汉词典等各类中英文词典类似,基本涵盖了全部常用中英文字词句的读音、释义及用法,是语言学习和写作的有利工具。

 

Copyright © 2004-2024 vtrois.com All Rights Reserved
更新时间:2026/4/19 9:54:59