网站首页  词典首页


请输入您要查询的字词:

 

字词 工序能力指数
类别 中英文字词句释义及详细解析
释义 工序能力指数

用来描述工序能力满足产品质量标准(规格、公差等)的程度的一个参数。

计算工序能力指数的方法依情况不同而不同:

(1)分布中心与公差中心重合。这是一种比较理想的情况,其计算公式为:

式中:T表示公差范围(技术要求);Tu表示上偏差(公差上限);TL表示下偏差(公差下限);σ表示母体的标准偏差。

当只规定公差上限时,工序能力指数可按下式计算:

式中:表示只给出Tu时的工序能力指数;μ表示总体的平均值;Tu

表示上偏差(公差上限);σ表示总体的标准偏差。

当只规定公差下限时,工序能力指数可按下式计算:

式中:Cp下表示只给出TL时的工序能力指数。TL表示下偏差(公差下限)。

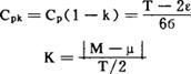
(2)分布中心μ与公差中心M发生偏离。此时,为了保持这道工序的实际加工能力,必须用一个考虑了偏离量ε的新的工序能力指数Cpk来评价工序能力。其计算公式为:

式中:Cpk表示修正后的工序能力指数:ε表示平均值的偏离量(简称偏离量);k表示平均值的偏离度(简称偏离度)。

(3)按合格品率计算工序能力指数。当给定技术要求为平均不合格品率时,工序能力指数的计算公式如下:

式中:Pv表示给定技术要求的平均不合格品率;表示实际平均不合格品率;表示平均样本量。

(4)按缺陷数计算工序能力指数。当给定的技术要求为缺陷(疵点)数时,工序能力指数的计算公式如下:

式中:Cv表示技术要求给定的确定面积或体积允许疵点数(或不合格品数);表示批疵点数(或批不合格品数)的平均值。

根据工序能力指数的大小,一般将工序能力分为五个等级(见下表)

工序能力等级

上表对于Cpk值同样适用,但对于分布中心不易调整的工序,下表可作为调整的参考。

随便看

 

离鸟网收录3541549条中英文词条,其功能与新华字典、现代汉语词典、牛津高阶英汉词典等各类中英文词典类似,基本涵盖了全部常用中英文字词句的读音、释义及用法,是语言学习和写作的有利工具。

 

Copyright © 2004-2024 vtrois.com All Rights Reserved
更新时间:2026/4/18 23:38:43