网站首页  词典首页


请输入您要查询的字词:

 

字词 工序能力指数
类别 中英文字词句释义及详细解析
释义 工序能力指数

(缩写为Cp)指产品(零件)的公差范围(T)与设备加工的误差范围(6σ)之比值。

表明工序能力(指工序在正常条件和稳定状态下所表现出来的保证产品质量的能力)对产品质量要求满足程度的综合性指标。如果生产过程处于统计控制之下,产品的质量之间的差异,按照正态分布的特征,有99.73%的数值是落在范围之内。

所以生产过程的质量能力是用6σ来表示的。

计算公式为:

Cp=1时,表示工序能力尚可满足工序质量的要求。其判断标准如下表:

工序能力对质量规格要求的保证程度是以实际发生的平均数()与公差中心(μ)相一致为前提的。即曲线的集中趋势恰好是在规格界限之间的中心位置。

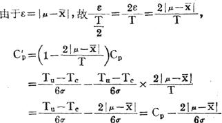
在实践中,往往实际水平的平均数与公差中心位置有发生偏移的现象,这时就需要调整质量分布中心使其与公差中心重合,再计算Cp值;或是对Cp值作修正,即:

式中:Cp为调整后的Cp值,K为调整系数。

后者为|μ-|的离差系数。

如果,一般情况是Cp>C′p

若产品规格设计规定是单向公差,只给出公差上限时,则:

只给出公差下限时,则:

随便看

 

离鸟网收录3541549条中英文词条,其功能与新华字典、现代汉语词典、牛津高阶英汉词典等各类中英文词典类似,基本涵盖了全部常用中英文字词句的读音、释义及用法,是语言学习和写作的有利工具。

 

Copyright © 2004-2024 vtrois.com All Rights Reserved
更新时间:2026/4/18 9:03:04