网站首页  词典首页


请输入您要查询的字词:

 

字词 工序时间估计
类别 中英文字词句释义及详细解析
释义 工序时间估计

工序时间是指完成一项工序所需的持续工作时间,可以用小时、日、周、月等为计算单位,以t(i,j)表示。

工序时间有单时估计法和三时估计法两种估计方法。单时估计法(Single-Time Estimate)是确定工序时间的一种方法。

适用于肯定性及规模不太大的工程项目,在确定完成各工序所需时间时,不考虑可能发生的偶然因素,而按照工序的工时定额估计一个时间值,因此也称为一时估计法。通常在关键路线法中,使用这种方法以确定各工序的工序时间。三时估计法(ThreeTime Estimate)是对非肯定性或新的研制任务确定工序时间的一种方法。由于构成任务的许多工序,其所需工作时间缺少可靠资料。难于肯定而具有不确定性,只能给出一个估计值。所谓三时估计法,就是对完成每一项工序,估计三种可能时间:即以a表示的乐观时间估计值,指在非常顺利情况下,完成一项工序所需最短时间;以b表示的悲观时间估计值,指在最困难情况下,完成该项工序所需最长时间;以m表示的最可能时间估计值,指在正常工作情况下,完成该项工序经常需要的时间。

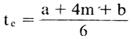
一般说来,按乐观时间估计值和悲观时间估计值完成某项工序的概率很小,而按最可能时间估计值完成某项工序的概率最大。a.b和m的概率分布近似于β分布,通常按以下经验公式进行加权平均计算:

得到的te值就是完成某项工序的期望时间或平均持续时间。

随便看

 

离鸟网收录3541549条中英文词条,其功能与新华字典、现代汉语词典、牛津高阶英汉词典等各类中英文词典类似,基本涵盖了全部常用中英文字词句的读音、释义及用法,是语言学习和写作的有利工具。

 

Copyright © 2004-2024 vtrois.com All Rights Reserved
更新时间:2026/4/19 11:35:58