工作原理与性能要求
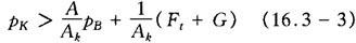
(1)工作原理 图16.3-1为液控单向阀的工作原理图和图形符号。当液控单向阀正向流动时,液流由A腔流向B腔;若从控制油口K通入控制油,使控制活塞将锥阀芯顶开,则可实现液控单向阀的反向开启,此时液流可从B腔流向A腔。 (a)工作原理图;(b)详细符号;(c)简化符号 实现反向开启的条件是: (pK-pA)Ak-Fkf>(pB-pA)A+Ft+Ff+G (16.3-1) 式中 pk——反向开启时的控制油压力(Pa); pA——A腔压力(Pa); pB——B腔压力(Pa); fkf——控制活塞摩擦阻力(N); Ff——锥阀芯摩擦阻力(N); Ft——弹簧力(N); G——阀芯重力(N); Ak——控制活塞面积(m2); A——阀座口面积(m2)。 如果忽略控制活塞和锥阀芯的摩擦阻力,式(16.3-1)可简化为 若将A口接油箱,即PA=0,式(16.3-2)又可变成  这表明,液控单向阀反向开启时的控制压力主要取决于B腔压力pB和阀座口与控制活塞的面积比A/Ak。另外,与A腔压力pA也有一定的关系。 (2)性能要求 液控单向阀除应具有单向阀的基本性能外,还要满足以下要求: ·控制活塞泄漏量小; ·反向开启时控制压力低; ·反向压力损失小。 |