川楝素[中]
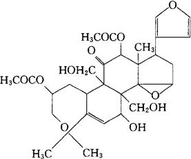
C30H38O11=574.60 24-去甲胆甾-20,22-二烯-4-羧乙醛,3,12-双(乙酰氧基)-14,15∶21,23-双环氧-17,19-三羟-4,8-二甲基-11-氧代-,环-4,19-半缩醛,[1α,3α,4β,(R),5α,7α,12α,13α,14β,15β,17α]。 24-Norchola-20,22-diene-4-carboxaldehyde,3,12-bis(acetyloxy)-14,15∶21,23-diepoxy-17,19-trihydroxy-4,8-dimethyl-11-oxo-,cyclic-4,19-hemiacetal,[1α,3α,4β(R),5α,7α,12α,13α,14β,15β,17α]. 抗寄生虫药。用于除蛔虫,对蛲虫和鞭虫也有效果。苦楝素。 Toosendain,Chuanliansu,Azedarachin. 川楝素片。  |