网站首页  词典首页


请输入您要查询的字词:

 

字词 川楝素
类别 中英文字词句释义及详细解析
释义 川楝素

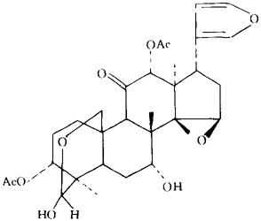
从川楝树皮中抽提分离得到的具有拒食和胃毒作用的植物杀虫剂。

可作医药用于防治人体寄生虫。化学结构式见右。川楝素已证明对多种昆虫具有拒食、胃毒、内吸及生长发育抑制作用。400mg/kg川楝素防治菜青虫(菜粉蝶幼虫)效果显著。

随便看

 

离鸟网收录3541549条中英文词条,其功能与新华字典、现代汉语词典、牛津高阶英汉词典等各类中英文词典类似,基本涵盖了全部常用中英文字词句的读音、释义及用法,是语言学习和写作的有利工具。

 

Copyright © 2004-2024 vtrois.com All Rights Reserved
更新时间:2026/4/20 16:43:00