峰态
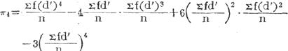
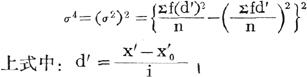
次数分配曲线顶峰的尖锐程度。 以正态分布为标准,分为尖峰态、正峰态和平峰态。以众数为中心,次数分配如较正态分配更为密集,曲线显得比正态曲线更陡峻的,为“尖峰态”;如较正态分配更为离散,曲线表现得比较平缓的,为“平峰态”。如下图:  测定峰态陡缓程度的指标称为“峰度”或“峰态系数”。峰度的计算方法是以总体标志值对算术平均数的第四动差之和,除以标准差的四次方。 第四动差法计算公式为:  公式中的π4 。 由于实际离差的数值很大,一般可以用组距简捷法计算。 计算公式为:   式中:a4代表峰度,π4代表第四动差,x代表标志值,f代表各组次数, 代表算术平均数,n代表总体单位数,x'代表组中值,x'0代表选定为假定平均数的组中值,d'为各组中值对假定平均数的组距差,i代表组距。 计算的结果,如a4=3.0,为正峰态;如a4>3.0,为尖峰态;如a4<3.0,为平峰态;如a4接近1.8,则分配为矩形,即各组次数接近相等;如a4小于1.8,则分配曲线成为U形。 |