网站首页  词典首页


请输入您要查询的字词:

 

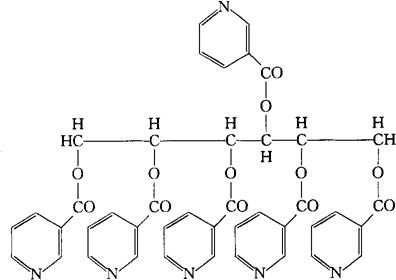
字词 山梨烟酯
类别 中英文字词句释义及详细解析
释义 山梨烟酯

C42H32N6O12=812.75

CAS-6184-06-1

D-山梨醇六烟酸酯。

D-Glucitol hexanicotinate.

血管扩张药。

烟酸山梨酯。

Sorbinicate,Nicosorbine,Nicosterolo.

INN,DCF,USAN.

随便看

 

离鸟网收录3541549条中英文词条,其功能与新华字典、现代汉语词典、牛津高阶英汉词典等各类中英文词典类似,基本涵盖了全部常用中英文字词句的读音、释义及用法,是语言学习和写作的有利工具。

 

Copyright © 2004-2024 vtrois.com All Rights Reserved
更新时间:2026/4/19 0:22:28