网站首页  词典首页


请输入您要查询的字词:

 

字词 山桂花
类别 中英文字词句释义及详细解析
释义 山桂花

【概况】:

基源 为远志科远志属植物长毛远志的根、叶和树皮。

远志属全世界约600种,中国约40种。

原植物 长毛远志Polygala wattersiiHance

形态 灌木或小乔木.高1~4m,小枝灰白色,无毛。单叶互生,叶柄长约1.5cm,薄革质,椭圆形,椭圆状披针形至倒披针形,长5~10cm,宽1.5~2.5cm,顶端渐尖,基部楔形稍下延,全缘。总状花序单生或2~5个簇生于小枝顶端叶腋内,花序长1.5~6cm,花黄色或先端淡红色,长1.2~2cm;花萼5,2轮,外轮萼片3枚,极小,内轮萼片2,花瓣状,花后脱落;花瓣3枚,中间龙骨瓣的背面顶端有2个囊状附属物,两侧的花瓣上部以下2/3与花丝鞘贴生;雄蕊8,花丝3/4合生成鞘。

蒴果倒卵状楔形,长10~14mm。种子2,具淡棕色长柔毛,无种阜。

花期6~7月,果期8~9月。(图见《中国高等植物图鉴》,第2册.576页.图2882)

生境与分布 多生于海拔1000~1500m的山坡、山谷灌丛中。分布于湖北、湖南、广西、四川。

【化学】:

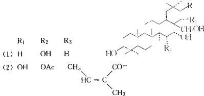
树皮含茶皂甙元D(Theasapogeniin D)(1)和短萼海桐皂甙元(Pitrobrevigenin)(2)。

参考文献 药学通报 1986;21(1):12

【药性】:

性味 微甘、涩,温。

功效 滋补强壮,活血解毒。

主治 跌打损伤,乳痈。

用法用量 内服:煎汤,6~15g。外用:捣敷。

。【临床应用】:

单方应用 《全国中草药汇编》:“治乳腺炎:山桂花鲜根或叶适量,捣烂敷患处。”

随便看

 

离鸟网收录3541549条中英文词条,其功能与新华字典、现代汉语词典、牛津高阶英汉词典等各类中英文词典类似,基本涵盖了全部常用中英文字词句的读音、释义及用法,是语言学习和写作的有利工具。

 

Copyright © 2004-2024 vtrois.com All Rights Reserved
更新时间:2026/4/19 1:09:46