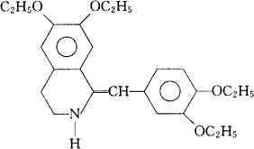
屈他维林
C24H31NO4=397.51 CAS-14009-24-6 1-(3,4-二乙氧亚苄)-6,7-二乙氧-1,2,3,4-四氢异喹啉。 1-(3,4-Diethoxybenzylidene)-6,7-diethoxy-1,2,3,4-tetrahydroisoquinoline. 解痉药。用于慢性冠状动脉功能不全、闭塞性动脉内膜炎、胃肠道痉挛、痉挛性便秘、胆绞痛、肾绞痛等。 氢乙罂粟碱。 Drotaverine,Isodihydroperparine,Nospane,Deprolen,Tetraspasmin. INN,USAN.  |