网站首页  词典首页


请输入您要查询的字词:

 

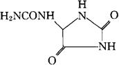
字词 尿囊素[中]
类别 中英文字词句释义及详细解析
释义 尿囊素[中]

C4H6N4O3=158.12

CAS-97-59-6

4-脲基咪唑烷-2,5-二酮。

4-Ureidoimidazolidine-2,5-dione.

(2,5-二氧代-4-咪唑烷基)脲。

(2,5-Dioxo-4-imidazolidinyl)urea.

治疗溃疡病与氢氧化铝凝胶合用。用于胃炎、胃及十二指肠溃疡病。

Allantoin,5-Ureidohydantoin.

复方尿囊素片。

USNA,MI.

随便看

 

离鸟网收录3541549条中英文词条,其功能与新华字典、现代汉语词典、牛津高阶英汉词典等各类中英文词典类似,基本涵盖了全部常用中英文字词句的读音、释义及用法,是语言学习和写作的有利工具。

 

Copyright © 2004-2024 vtrois.com All Rights Reserved
更新时间:2026/4/17 17:10:35