尼鲁米特
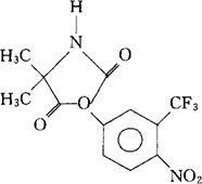
C12H10F3N3O4=317.22 CAS-63612-50-0 5,5-二甲基-3-(α,α,α-三氟-4-硝基-间-甲苯基)乙内酰脲。 5,5-Dimethyl-3-(α,α,α-trifluoro-4-nitro-m-tolyl)hydantoin. 5,5-二甲基-3-[4-硝基-3-(三氟甲基)苯基]-2,4-咪唑烷二酮。 5,5-Diemthyl-3-[4-nitro-3-(trifluoromethyl)phenyl]-2,4-imidazolidinedione. 1-(3′-三氟甲基-1-4′-硝苯基)-4,4-二甲基咪唑啉-2,5-二酮。 1-(3′-Trifluoromethyl-1,4′-nitrophenyl)-4,4-dimethylimidazoline-2,5-dione. 抗雄激素药。 里奴内酰胺。 Nilutamide,Anandron,RU 23908. INN,BAN,USAN,MI.  |