尼芬那宗
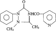
C17H16N4O2=308.34 CAS-2139-47-1 N-安替比林基烟酰胺。 N-Antipyrinylnicotinamide. N-(2,3-二氢-1,5-二甲基-3-氧代-2-苯基-1H-吡唑-4-基)-3-吡啶甲酰胺。 N-(2,3-Dihydro-1,5-dimethyl-3-oxo-2-phenyl-1Hpyrazol-4-yl)-3-pyridinecarboxamide. 烟酰基氨基二甲基苯基吡唑酮。 Nicotinoylaminophenazone. 解热镇痛药。 Nifenazone,Thylin,Dolongan,Nicopyron,Phenicazone. INN,BAN,USAN,MI.  |