网站首页  词典首页


请输入您要查询的字词:

 

字词 尼美他新
类别 中英文字词句释义及详细解析
释义 尼美他新

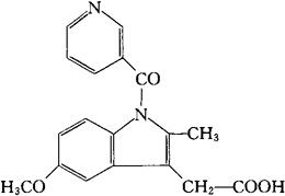
C18H16N2O4=324.34

CAS-16426-83-8

5-甲氧基-2-甲基-1-烟酰基吲哚-3-醋酸。

5-Methoxy-2-methyl-1-nicotinoylindole-3-acetic acid.

5-甲氧-2-甲基-1-(3-吡啶羰基)-1H-吲哚-3-乙酸。

5-Methoxy-2-methyl-1-(3-pyridinylcarbonyl)-1Hindole-3-acetic acid.

消炎、解热、镇痛药。

Niometacin.

INN,USAN.

随便看

 

离鸟网收录3541549条中英文词条,其功能与新华字典、现代汉语词典、牛津高阶英汉词典等各类中英文词典类似,基本涵盖了全部常用中英文字词句的读音、释义及用法,是语言学习和写作的有利工具。

 

Copyright © 2004-2024 vtrois.com All Rights Reserved
更新时间:2026/4/18 8:21:15