尼可待因
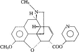
C24H24N2O4=404.46 CAS-3688-66-2 6-烟酰可待因。 6-Nicotinoylcodeine. 3-吡啶羧酸7,8-二去氢-4,5-环氧-3-甲氧-17-甲基吗啡喃-6-醇。 7,8-Didehydro-4,5-epoxy-3-methoxy-17-methylmorphinan-6-ol 3-pyridinecarboxylate. 镇咳药,镇痛药。 可待因烟酸酯,烟酸可待因酯。 Nicocodine,Lyopect,Tusscodin Retard,RC 146. INN,BAN,DCF,USAN.  |