网站首页  词典首页


请输入您要查询的字词:

 

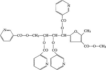
字词 尼可呋酯
类别 中英文字词句释义及详细解析
释义 尼可呋酯

C35H28N4O11=680.63

CAS-4397-91-5

2-甲基-5-(D-阿拉伯糖-1,2,3,4-四羟丁基)-3-糠酸甲酯,四烟酸酯。

2-Methyl-5-(D-arabino-1,2,3,4-tetrahydroxybutyl)-3-furoic acid methyl ester,tetranicotinate.

甲基-2-甲基-5-(D-阿拉伯糖-1,2,3,4-四羟丁基)-3-糠酸四烟酸酯。

Methyl-2-methyl-5-(D-arabino-1,2,3,4-tetrahydroxybutyl)-3-furoate tetranicotinate.

扩张血管药,降血脂药。

尼古呋那德。

Nicofurate,GN-3,Arteriolase,Tetnicoran.

INN,USAN.

随便看

 

离鸟网收录3541549条中英文词条,其功能与新华字典、现代汉语词典、牛津高阶英汉词典等各类中英文词典类似,基本涵盖了全部常用中英文字词句的读音、释义及用法,是语言学习和写作的有利工具。

 

Copyright © 2004-2024 vtrois.com All Rights Reserved
更新时间:2026/4/17 17:39:00