网站首页  词典首页


请输入您要查询的字词:

 

字词 尼可呋糖
类别 中英文字词句释义及详细解析
释义 尼可呋糖

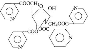
C30H24N4O10=600.54

CAS-15351-13-0

D-呋喃果糖1,3,4,6-四烟酸酯。

D-Fructofuranose 1,3,4,6-tetranicotinate.

β-D-呋喃果糖1,3,4,6-四-3-吡啶羧酸酯。

β-D-Fructofuranose 1,3,4,6-tetra-3-pyridinecarboxylate.

扩张血管药。

烟呋糖酯。

Nicofuranose,ES 304,Bradilan,Buclidan,Vasperdil.

INN,BAN,DCF,USAN,MI.

随便看

 

离鸟网收录3541549条中英文词条,其功能与新华字典、现代汉语词典、牛津高阶英汉词典等各类中英文词典类似,基本涵盖了全部常用中英文字词句的读音、释义及用法,是语言学习和写作的有利工具。

 

Copyright © 2004-2024 vtrois.com All Rights Reserved
更新时间:2026/4/17 17:47:36