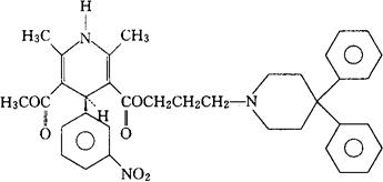
尼古地平
C36H39N3O6=609.72 CAS-113165-32-5 1,4-二氢-2,6-二甲基-4-(间-硝苯基)-3,5-吡啶二羧酸(+)-(S)-3-(4,4-二苯哌啶基)丙基甲酯。 (+)-(S)-3-(4,4-Diphenylpiperidino)propyl methyl1,4-dihydro-2,6-dimethyl-4-(m-nitrophenyl)-3,5-pyridinedicarboxylate. 1,4-二氢-2,6-二甲基-4-(3-硝苯基)-3,5-吡啶二羧酸-3-(4,4-二苯基-1-哌啶基)-丙基甲酯。 1,4-Dihydro-2,6-dimethyl-4-(3-nitrophenyl)-3,5-pyridinedicarboxylic acid 3-(4,4-diphenyl-1-piperidinyl)propylmethyl ester. 抗高血压药。 Niguldipine. INN,USAN.  |