网站首页  词典首页


请输入您要查询的字词:

 

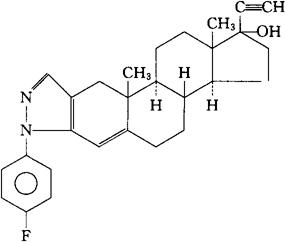
字词 尼伐可醇
类别 中英文字词句释义及详细解析
释义 尼伐可醇

C28H31FN2O=430.56

CAS-24358-76-7

2′-(对-氟苯基)-2′H-17α-孕甾-2,4-二烯-20-炔基[3,2-c]吡唑-17-醇。

2′-(p-Fluorophenyl)-2′H-17α-pregna-2,4-dien-20-yno[3,2-c]pyrazol-17-ol.

消炎药。

Nivacortol,Nivazol,Win 27,914.

INN,USAN(Nivazol).

随便看

 

离鸟网收录3541549条中英文词条,其功能与新华字典、现代汉语词典、牛津高阶英汉词典等各类中英文词典类似,基本涵盖了全部常用中英文字词句的读音、释义及用法,是语言学习和写作的有利工具。

 

Copyright © 2004-2024 vtrois.com All Rights Reserved
更新时间:2026/4/18 2:57:34