网站首页  词典首页


请输入您要查询的字词:

 

字词 小果千金榆
类别 中英文字词句释义及详细解析
释义 小果千金榆

【名称出处】:《浙江天目山药用植物志》

【概况】:

基源 为桦木科鹅耳枥属植物华千金榆的根皮。

鹅耳枥属全世界约40种,中国约25种。

原植物 华千金榆Carpinus cordata Bl.var.chinensis Franch,

形态 落叶乔木,高可达15m。树皮灰褐色,有鳞片状浅裂;小枝赤褐色,有光泽,具黄色圆形的皮孔。叶互生,椭圆形或卵状椭圆形,长6~12cm,宽4~6cm,基部浅心形,顶端渐尖,边缘具尖细锯齿,上面绿色,疏生短柔毛,老时光滑,下面淡绿色,侧脉17~24对;叶柄长1.2~2cm;枝、叶柄、叶背、叶脉及果柄均密生短柔毛。

花单性,黄绿色;雄柔荑花序腋生,下垂,花密生,无花被,苞片卵形,基部著生雄蕊10枚;雌柔荑花序顶生,每苞内有雌花2朵,左右各有3小苞合成的副苞,结果时即成果苞;雌花具萼,与子房附著,子房下位,苞叶边缘及小苞背面有细毛。小坚果椭圆形,压扁状,由密叠的果苞所覆盖。

(图见《中国植物志》.第21卷.66页.图版154)

生境与分布 生于背阳山谷较湿润肥沃的针阔叶混交林或杂木林中。分布于华东及湖北、四川。

。【生药】:

采集 秋季采挖,剥取根皮,除去杂质,晒干或鲜用。

贮藏 晒干用者置干燥处。

【化学】:

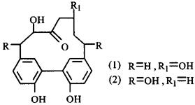
含多种联苯大环酮类化合物,如千金榆甲素(1)和乙素(2)等[1,2]。

参考文献 [1] CA 1988;109:51715p [2] CA 1989;111:54172m

【药性】:

性味 淡,平。

功效 清热解毒,通淋。

主治 跌打损伤,痈肿,淋病,劳倦疲乏。

用法用量 内服:煎汤,15~30g。外用:捣敷。

。【临床应用】:

单方应用 ❶ 《浙江天目山药用植物志》:“治劳伤酸软:小果千金榆根、紫青藤各21~24g。水煎服。”
❷ 江西《草药手册》:“治跌打损伤:小果千金榆根皮,加酒糟捣敷。”
❸ 江西《草药手册》:“治痈肿:小果千金榆根白皮,加酒糟捣烂敷。”
❹ 江西《草药手册》:“治赤白淋症:鲜小果千金榆根白皮30~60g。米酒煎服。”

随便看

 

离鸟网收录3541549条中英文词条,其功能与新华字典、现代汉语词典、牛津高阶英汉词典等各类中英文词典类似,基本涵盖了全部常用中英文字词句的读音、释义及用法,是语言学习和写作的有利工具。

 

Copyright © 2004-2024 vtrois.com All Rights Reserved
更新时间:2026/4/20 3:43:13