小单孢菌素
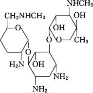
C20H41N5O7=463.57 CAS-52093-21-7 O-2-氨基-2,3,4,6-四去氧-6-(甲氨基)-α-D-赤-己吡喃糖基-(1→4)-O-(3-脱氧-4-C-甲基-3-(甲氨基)-BL-阿拉伯吡喃糖基-(1→6)]-2-脱氧-D-链霉胺。 O-2-Amino-2,3,4,6-tetradeoxy-6-(methylamino)-α-D-erythro-hexopyranosyl-(1→4)-O-(3-deoxy-4-C-methyl-3-(methylamino)-β-L-arabinopyranosyl(1→6)]-2-deoxy-D-streptamine. 抗生素类药。 小诺米星。 Micronomicin,Sagamicin. INN,JAN,USAN,MI.  |