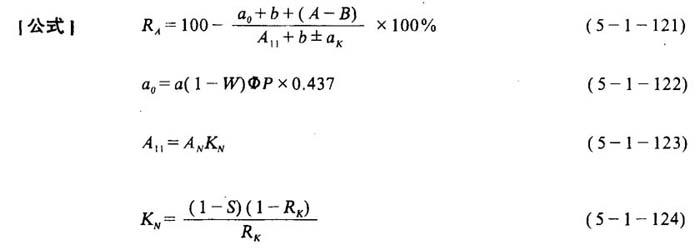
将活性碱转换成总碱的计算
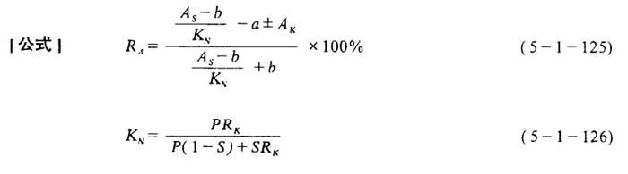
1.方法一  式中 a0——补充芒硝的产碱量(kg) a——芒硝补充量(kg) W——芒硝水分(%) Φ——芒硝的纯度(%) P——芒硝还原率(%) 0.437——由芒硝转换为氧化钠的系数 b——补充外来碱(kg) A——统计开始时系统结存碱量(kg) B——统计结束时系统结存碱量(kg) A11——回收碱量(kg) AN——回收活性碱量(kg) KN——转换系数 S——硫化度(%) PK——苛化度(%) aK——白液结存碱量(kg) [讨论]该法将活性碱换算为总碱,解决了上一种方法存在的问题,而且考虑到补充芒硝的水分和纯度的波动因素,所以计算结果比较准确。另外须说明几点: ❶ 该式各种碱量均以总碱计; ❷ 分子中系统结存量均以总碱计,但黑液总碱按原有固定数计(假定全碱),此项中不包括白液结存量; ❸ 分母中白液结存量作为碱回收成品,直接与用碱量有关,不影响分子中系统耗碱量。 2.方法二  式中 As——蒸煮装锅用的活性碱量(kg)(以Na2O计) AK——系统碱量结存差额(kg) b——补加活性碱(kg),仅以补加较纯的烧碱为主,否则不能近似地等于补加总碱 其它同上 [例]某厂蒸煮用去活性碱共600t(10天)(以Na2O计),补加活性碱30t(Na2O计),加芒硝68t(Na2O计),盘点库存亏4t(Na2O计)。10天中平均硫化度为25%,苛化率为88%.芒硝还原率为88%,10天测得各部分的碱损失如下:蒸煮、提取27.1t(Na2O计)、蒸发13.0t(Na2O计)、燃烧38.3t(Na2O计)、苛化24.0t(Na2O计),共计102.4t(Na2O计)。计算该厂的碱回收率是多少?   |