网站首页  词典首页


请输入您要查询的字词:

 

字词 射影几何
类别 中英文字词句释义及详细解析
释义 射影几何

数学的一个分支学科。

起端于欧洲文艺复兴时期透视学的研究。从19世纪开始得到蓬勃的发展。主要先驱者是17世纪法国的笛沙格(Desargns,G·)和帕斯卡(Pasсua,B.)。

首先给出系统严密论述的是19世纪法国的彭色列(Poncelet,J.)。

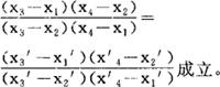
这种几何主要研究在把点投射到直线或平面上时,图形的不变的性质。在射影几何里,图形保持不变的最基本性质是点与直线的结合性,即在每一个中心投影之下,点与直线的位置关系保持不变。最基本的不变量是交比,即在它所论及的两组图形之间确定了一个保持交比的一一对应。例如,设Pi,Pi′(i=1,2,3,4)是两直线上对应的点,xi,xi′(i=1,2,3,4)是它们相对应的坐标,则关系式

这种几何有两个明显特点:(1)引入一条理想直线,每一条通常的直线都与它相交,相互平行的直线交于同一点。

(2)对偶原理,把每一个命题中所包含的概念换上与它对偶的概念,相应的命题也成立。例如,“直线”与“点”是对偶的元素。在射影几何里,不存在距离、角度、面积、体积、向量、平行和分点等观念,因为它们在中心投射下是要改变的。因此,它和欧氏几何相比,范围最大,内容却最少。

欧氏几何是射影几何的子几何。

随便看

 

离鸟网收录3541549条中英文词条,其功能与新华字典、现代汉语词典、牛津高阶英汉词典等各类中英文词典类似,基本涵盖了全部常用中英文字词句的读音、释义及用法,是语言学习和写作的有利工具。

 

Copyright © 2004-2024 vtrois.com All Rights Reserved
更新时间:2026/4/18 15:28:02