网站首页  词典首页


请输入您要查询的字词:

 

字词 导数的近似计算
类别 中英文字词句释义及详细解析
释义 导数的近似计算

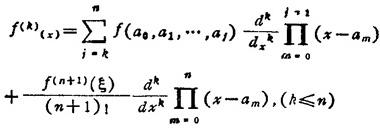
15.4.1 牛顿求导公式

结点为a0<a1<…<an,则

式中 x不是的根;ξ 在x、a0及an中的最小值与最大值之间。

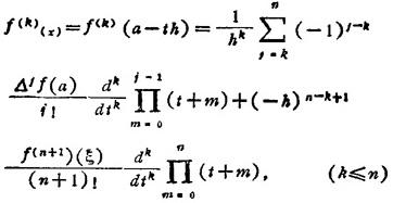
15.4.2 等距节点的求导公式

便于在函数表开头使用的求导公式(结点为a,a+h,a+2h…,a+nh):

式中 ;ξ在x、a及“+nh的最小值与最大值之间。

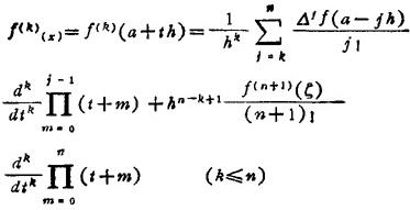
便于在函数表末尾使用的求导公式(结点为a,a-h,a-2h,…,a-nh):

式中 ;ξ的值在x、a及a-nh中的最小值与最大值之间。

随便看

 

离鸟网收录3541549条中英文词条,其功能与新华字典、现代汉语词典、牛津高阶英汉词典等各类中英文词典类似,基本涵盖了全部常用中英文字词句的读音、释义及用法,是语言学习和写作的有利工具。

 

Copyright © 2004-2024 vtrois.com All Rights Reserved
更新时间:2026/4/20 17:22:39