网站首页  词典首页


请输入您要查询的字词:

 

字词 导数分光光度法
类别 中英文字词句释义及详细解析
释义 导数分光光度法

在进行分光光度分析时,通常面临下述两方面的问题:外来物质与主成分吸收带相互重叠,干扰对待测物的鉴别和测定;在测定波长范围内,辐射光受到溶剂、胶体、悬浮体等的散射或吸收,减弱了直达检测器的光强,降低了分析性能。

对此,传统的方法通常是采用诸如过滤、沉淀、蒸馏、淬取和色谱等化学和物理化学分离手段来消除影响。近些年来,利用改进测试仪器性能克服上述局限性的努力已收到显著效果。

虽然使用某一仪器进行测量所获得的基本信息不随输出方式而有实质性变化,但是,输出信息的表达方式往往对信息的适用性产生明显的影响。

因此如何选择适宜的输出方式来满足检测的要求,无疑也是分析化学工作者十分关切的问题。导数分光光度法,它与根据分子在特定波长(或频率)下光吸收(或透过)曲线来鉴别和测定物质的常规分光光度法不同,而是利用光吸收(透过)对波长的导数曲线来确定和分析吸收峰的位置和强度。由于导数光度法具有下述优点:能检出1个或2个以上的重叠吸收带;能分辩在强吸收曲线“肩部”的弱吸收带;能精密确定单一吸收峰的位置;能消除基线的影响;能进行定量测定。

总之,对于提高分析性能,改善方法选择性及克服上述局限十分有效,因此,这种使用导数输出的分析方法近几年已得到了迅速发展,应用日益广泛。

20世纪50年代初期,V.I.Hammond等提出了导数分光光度法,其原理为:根据朗伯-比尔定律

I/I0=e-εcd (1)

从(2)式可看出:输出的一阶导数信号与试样浓度呈线性关系,其测定灵敏度依赖于摩尔吸光系数对波长的变化速度。

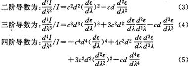
同样可写出其余高阶导数方程

由上可见对于二、三阶导数,当为零时,光强对波长的二阶和三阶导数与浓度呈线性关系,当均为零时,光强的四阶导数与浓度呈线性关系。更高阶导数的情况亦与此类似。这就是导数分光光度法定量分析的基础。

如何获得导数图谱和解释导数曲线是导数分光光度法的两个重要环节。

关于获得导数图谱的技术,50年代后期到60年代末,研究最多的是电子微分法,即将仪器的输出信号(I)对时间(t)微分得到dI/dt。此时,如果波长扫描速度(dλ/dt)保持为常数,即可得到

dI/dλ=(dI/dt)/(dλ/dt)

因dλ/dt=c(常数)故

dI/dλ=(1/c)(dI/dt)

Mavtin曾用简单的RC微分线路实现此目的;在此期间也出现了双波长光度法。

60年代到70年代是研究的高峰时期,除继续研究上面两种方法外,又相继出现了数值微分、波长调制及机械式转速计等。其中1964年A.Savitzky等提出了一种对数字、数据进行最小二乘法拟合平滑和求导处理的简单卷积方法。

尔后J.Steinir等对此进行了修正和补充;1973年R.N.Hager对各种波长调制方法进行了比较。1981年J.K.Kauppinen等报导了一种采用傅里叶变换自重叠合(Self-deconvolution)技术求导方法。这些方法不仅可用于对光谱数据求导,且对提高光谱信噪比十分有利。随著微型计算机的广泛使用,此技术必将获得迅速发展。

在获得以导数方式输出的信息后,如何识别和考察这种导数图形,对分析人员来说是十分重要的。1955年,T.Giese曾将具有不同高度、宽度和不同的波峰距离的两个重叠的波带利用图示计算机,用图解法进行了一次微分,说明导数分光光度法区分重叠峰的能力。1963年,R.C.Smith对等高等宽波形相同的两个重叠带的一、二阶导数光谱的分辩率进行了计算,得到的结果为对高斯型带一、二阶导数光谱可分辩所需的波峰距离分别为半峰宽的0.85和0.63。对Lorentzian型带,相应的为0.56和0.33。

1975年,T.C.O′Haver等研究了小波峰分别被2、5、10倍高2倍宽的波带覆盖,两峰中心距离为大峰半峰宽的0.75倍,利用导数曲线可以识别小波带的存在。1980年,J.E.Cahill等用差分法计算导数光谱后认为,n阶导数光谱的S/N(信噪比)和原光谱的比值,和微分波长差(△λ)的n次方成正比,但他在深入考察导数技术对光谱曲线的影响后进一步指出,在应用导数技术时,必须注意导数阶数(n)和微分波长差(△λ)的选择,当n增加时分辩效应显著提高,而S/N降低;当△λ增加时S/N提高,但达到一定程度后,由于偏离效应,此优越性即被削弱。在实际工作时,需统筹考虑。

G.Talsky等对高达七阶导数的曲线进行研究后认为,在通常情况下,四阶导数即可获得极佳分辩,并保持较低噪声。1985年,陈璞等人在TRS-80微型计算机上,计算了等高等宽、不等高不等宽的两个重叠的高斯型带的二、四阶导数的分辩情况。1988年李建军等从量子化学角度讨论了导数分光光度法中重叠谱带的相互干扰,得到了一些理论标准和误差公式,并通过实验数据作了验证。

关于导数光度法的应用,70年代后期以来得到了较快的发展。利用导数光度法分辨能力高的特点可实现常规光度法难于进行的多组分同时测定,例如S.Shibata用双波长导数法同时测定了基本吸收曲线重叠十分严重的2,4一二氯酚及2,4,6一三氯酚混合物。

又如李金和等提出了组合导数分光光度法,并用此方法成功测定了Mo与W,Mo与Ti的混合物。关于蛋白质和氨基酸分析,导数光度法,特别是高阶导数法,已被用作确定蛋白质特征“指纹”的工具,在分析氨基酸混合物时,由于光谱重叠严重,要用常规光度法来实现各组分的测定,通常是很困难,甚至是不可能的酸酷氨酸。

例如Balestrieri采用二阶导数光度法即可同时测定色氨酸、酷氨酸和苯丙氨酸。还有异构物的分析,异构物大多具有相似谱带,在混合物中吸收带重叠而不易检出,也难于确定异构物中各吸收曲线的特征峰(或谷)的位置。

可是用1阶导数曲线鉴别分析睾丸甾酮和1-脱氢睾丸甾酮。用高阶导数分析正丙醇和异丙醇,正丁醇和异丁醇以及测定汽油中的苯等均获得满意的结果。

混浊、悬浮和乳浊液分析:导数光度法在微分过程中能消除混蚀、悬浮及乳浊液质点所产生的光散射影响和背景干扰,例如由于废水的混浊度变化使其中酚的常规光度测定造成困难。S.Shibata利用一阶导数技术消除背景干扰;A.P.Demchenko报导了高混浊条件下蛋白质的分析。

V.J.Hammond等最初将导数技术引入分光光度分析。近年来,这种导数输出技术已经从常用可见紫外分光光度法推广到诸如红外、原子吸收和原子荧光、核磁共振、色谱、极谱以及发射光谱等分析手段。涉及的分析对象包括环境、生物、医药、食品、染料、矿物、合金等方面。应用范围从气体、溶液、混浊液到固体试剂。适宜于进行痕量分析,研究反应动力学和考察催化剂表面吸附行为等,显示出特殊的优越性。

。【参考文献】:

1 Hammond V J,Price W C. JOSA,1953,43:924

2 Gtese A T, French CS. App Spectrosc, 1955,9,78

3 Martin H H. Nature, 1957,180:231

4 Savitzky A, Golay M. Anal chem,1964,35(8):1627

5 Hager R N. Jr Anal chem,1973,45(13) :1131A

6 Demchenko A P. Ukr Biochem Zh,1979,51(1) :80

7 Cahill J E. Int. Lab, 1980,1(2):64

8 Kauppinen J K.Moffatt D J,Mantsch H H, Cameron D G. Anal Chem,1981,53(9):145A

9 李建军,罗庆尧,曾云鹗.高等学校化学学报,1988,9(4):337

10 李金和,奚长生,史慧明.分析化学,1989,17(3)217

(陕西师范大学杨合情、傅克德教授撰)

随便看

 

离鸟网收录3541549条中英文词条,其功能与新华字典、现代汉语词典、牛津高阶英汉词典等各类中英文词典类似,基本涵盖了全部常用中英文字词句的读音、释义及用法,是语言学习和写作的有利工具。

 

Copyright © 2004-2024 vtrois.com All Rights Reserved
更新时间:2026/4/21 13:43:48