网站首页  词典首页


请输入您要查询的字词:

 

字词 导数
类别 中英文字词句释义及详细解析
释义 导数

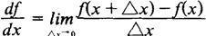
对于一元函数f(x),其导数df/dx表示函数的变化速度,即

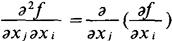
在经济研究中经常利用多元函数f(x1,x2,…,xn),那么经常可能要对其中一个变量求导数(其余变量不变),这种导数称为偏导数,并表示为i。任何一个偏导数又是变量x1,x2,…,xn的函数,所以可以考察其二阶偏导数:

二阶导数一个重要性质是对称性。如果函数f连续,有连续的一阶和二阶偏导数,则有

随便看

 

离鸟网收录3541549条中英文词条,其功能与新华字典、现代汉语词典、牛津高阶英汉词典等各类中英文词典类似,基本涵盖了全部常用中英文字词句的读音、释义及用法,是语言学习和写作的有利工具。

 

Copyright © 2004-2024 vtrois.com All Rights Reserved
更新时间:2026/4/20 14:54:56