网站首页  词典首页


请输入您要查询的字词:

 

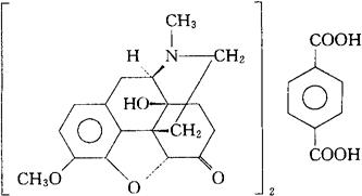
字词 对苯二酸羟考酮
类别 中英文字词句释义及详细解析
释义 对苯二酸羟考酮

(C18H21NO4)2·C8H6O4=796.87

CAS-64336-55-6

(5α)-4,5-环氧-14-羟-3-甲氧-17-甲基-吗啡喃-6-酮-

1,4-苯二羧酸盐(2∶1)。

(5α)-4,5-Epoxy-14-hydroxy-3-methoxy-17-methylmorphinan-6-one,1,4-benzenedicarboxylate(2∶1salt).

4,5α-环氧-14-羟3-甲氧基-17-甲基吗啡南-6-酮1,4-苯二羧酸盐(2∶1)。

4,5α-Epoxy-14-hydroxy-3-methoxy-17-methylmorphinan-6-one 1,4-benzenedicarboxylate(2∶1)(salt).

局部麻醉药(麻醉性镇痛药)。

对苯二酸羟可待酮。

Oxycodone Terephthalate.

USAN,USP.

随便看

 

离鸟网收录3541549条中英文词条,其功能与新华字典、现代汉语词典、牛津高阶英汉词典等各类中英文词典类似,基本涵盖了全部常用中英文字词句的读音、释义及用法,是语言学习和写作的有利工具。

 

Copyright © 2004-2024 vtrois.com All Rights Reserved
更新时间:2026/4/19 16:17:10