网站首页  词典首页


请输入您要查询的字词:

 

字词 对称轴平行于坐标轴的圆锥曲线
类别 中英文字词句释义及详细解析
释义 对称轴平行于坐标轴的圆锥曲线

1.方程(a>b>0)表示中心在(h,k),对称轴平行于坐标轴的椭圆,其焦点坐标为(±c+h,k),准线方程为

2.方程表示中心在(h,k),对称轴平行于坐标轴的双曲线,其焦点坐标(±c+h,k),准线方程+h.

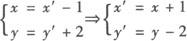
例1 平移坐标轴,把原点平移到O′(—1,2),求:

(1)点M(3,4)的新坐标;

(2)在新坐标系中,点N(3,4)的原坐标;

(3)曲线x2+y2+2x—4y+1=0在新坐标系中的方程.

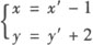
解(1)由移轴公式得

把x=3,y=4代入得x′=3+1=4,y′=4—2=2,所以点M的新坐标是(4,2).

(2)将x′=3,y′=4直接代入移轴公式

得x=3—1=2,y=4+2=6,∴点N的原坐标为(2,6).

(3)将移轴公式x=x′—1,y=y′+2代入已知方程,得(x′—1)2+(y′+2)2+2(x′—1)—4(y′+2)+1=0.化简整理,得x′2+y′2=4,此即为曲线在新坐标系中的方程.

例2 双曲线3x2—y2=k的中心在直线l∶y=x上移动,且保持对称轴平行于坐标轴,问平移中是否存在这样的双曲线,它截直线l的弦长与截y轴的弦长都等于?若存在,求出双曲线方程,若不存在,说明理由.

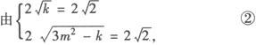
解 设双曲线方程为3(x—m)2—(ym)2=k. ❶ 

将y=x代入,得2(x—m)2=k,

当k≥0,,双曲线在l上截得的弦长为

在双曲线方程❶ 中令x=0,得y2—2my2m2+k=0.

双曲线方程❶ 在y轴上截得的弦为

解得k=2,均适合❷ 所以存在符合条件的双曲线,其方程为3(x+

随便看

 

离鸟网收录3541549条中英文词条,其功能与新华字典、现代汉语词典、牛津高阶英汉词典等各类中英文词典类似,基本涵盖了全部常用中英文字词句的读音、释义及用法,是语言学习和写作的有利工具。

 

Copyright © 2004-2024 vtrois.com All Rights Reserved
更新时间:2026/4/20 12:01:08