网站首页  词典首页


请输入您要查询的字词:

 

字词 对数运算基本公式
类别 中英文字词句释义及详细解析
释义 对数运算基本公式

1.3.1 性质(a>0.a1)

alogab=b

logaax=x

loga1=0

logaa=1

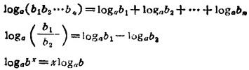
1.3.2 运算法则

1.3.3 换底公式

lgb≈0.4342944819lnb

lnb≈2.3025850930lgb

随便看

 

离鸟网收录3541549条中英文词条,其功能与新华字典、现代汉语词典、牛津高阶英汉词典等各类中英文词典类似,基本涵盖了全部常用中英文字词句的读音、释义及用法,是语言学习和写作的有利工具。

 

Copyright © 2004-2024 vtrois.com All Rights Reserved
更新时间:2026/4/19 10:46:51