网站首页  词典首页


请输入您要查询的字词:

 

字词 对外经济合作企业的财务分析
类别 中英文字词句释义及详细解析
释义 对外经济合作企业的财务分析

1.财务分析方法

对外经济合作企业进行财务分析的目的,主要是为了判断企业财务状况和衡量企业经营得失两个方面。

对外经济合作企业常用的财务分析方法主要有趋势分析法,因素分析法、比率分析法等。

(1)趋势分析法

趋势分析法是根据企业连续数期的财务报表,比较各期的有关项目金额,以揭示当期的财务状况和营业情况的增减变化的性质和趋向。

趋势分析法主要决定:

❶ 哪些是引起变动的主要项目。

❷ 描绘出的变动趋势的性质是有利还是无利;

❸ 预测企业未来发展趋势或发展前景。

趋势分析又分为两种主要方法,一是制作成统计图表,以观察变化趋势。另一种是比较财务报表法,比较财务报表可以用绝对金额进行比较,也可以用百分比进行比较,对外经济合作企业通常采用比较财务报表的方法。

比较财务报表的具体做法是:

❶ 比较各项目前后期的增减方向和幅度。

首先,把前后期各项目的绝对金额进行比较,求出增或减的差额;然后把增或减的差额作为分子,把前期的绝对金额作为分母,求出增减差额的变化百分比。

❷ 求出各项目在总体中所占的比重

在比较和分析财务状况和经营成果时抓住关键项目,抓住影响企业的财务状况和经营成果的关键项目。分析项目要精选,要剔除很少发生的一些特殊项目,把重点放在迫切需要分析的经营管理上的重大项目上,还要对个别项目的数据变动作进一步细致的分析。

(2)因素分析法

因素分析法,也叫连锁替代法,其特点是:在测定影响某一经济信息(经济指标)的各个因素的影响程度时,必须对各有关因素顺序地进行分析。当分析某一因素时,把其余因素的影响暂时当作不变。

(3)比率分析法

比率分析法主要把两个或两个以上的信息加以配合,寻找它们的内在联系,并由此产生新的有助于决策的信息。很明显,比率就是信息,而且是有特殊意义的信息。

进行比率分析最重要的是选择有联系的项目数额之间的有用比率。在选择前,首先要肯定被选择的分析的不同项目之间确实存在著重要的连联。没有任何联系的数额之间的任何比率都是毫无意义的,不可能对企业的分析与评价有任何用处。比率分析法运用比较广泛,我们在对对外经济合作企业经营状况和经营成果分析时加以运用。

对外经济合作企业的财务分析可以根据不同的需要,选用不同的方法进行分析说明,也可以运用几种方法对一个问题同时进行分析说明。如在分析预测企业未来实现利润时,可以根据几年的资料,以趋势分析法为主进行;分析当年实现利润,可以根据成本费用,销售价格等变化情况,运用因素分析法进行分析;对企业进行横向比较,可以采用比率分析法。

2.财务指标体系

对外经济合作企业财务指标主要有五项:流动比率、应收帐款周转率、资产负债率、资本金利润率和成本利税率。

(1)流动比率

流动比率是企业流动资产和流动负债的比率,流动比率是衡量企业资产流动性的大小,判断短期债权人的债权在到期前偿债企业用现金及预期在该期中能变为现金的资产偿还的限度,反映和评价企业流动状况是投资者、债权人、政府有关管理机构普遍感兴趣的问题。

对外经济合作企业中流动资产包括现金,有价证券,应收帐款,应收票据,存货,预付短期费用等,其中应收帐款要以扣除备抵坏帐筹金额后的净额计算。流动负债包括应付帐款、应付票据、下一会计年度内到期的长期负债、应付税款和各项应付费用等。

衡量对外经济合作企业资产流动性的大小,既要考虑能清偿的流动负债,又要考虑企业应付的经常性资金需要,流动资产必须要大于流动负债。这个比率越强,偿还债务能力越强。一般情况下,流动比率应维持在2:1,既流动资产应该是流动负债的2倍。对外经济合作企业的资产一般有较高的流动性,在流动性较强的前提下,合理运用资金,提高资产的盈利性。

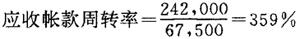
(2)应收帐款周转率

应收帐款周转率是会计期内赊销净额与应收帐款的全年平均余额之比,它反映企业收回应收帐款的效率。计算应收帐款周转率公式为:

式中的平均应收帐款年平均余额的计算如下:

例如,某对外经济合作企业某年赊销净额为242,000元,应收帐款年平均余额为67,500元,则应收帐款周转率为:

它表明该年度应收帐款转为现金的次数平均为3.59次,从一个侧面反映了应收帐款的流动程度。

应收帐款周转率越快,帐龄越短,说明企业应收帐款变现的速度快,在应收帐款的管理上的效率高,从而使企业减少坏帐损失,降低催收费用,提高企业的赢利能力。

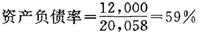
(3)资产负债率

资产负债率是企业的负债与资产之间的比率,它是考核企业综合偿债能力的一个财务指标。其计算公式为:

对外经济合作企业负债是指企业负债权人的金融,包括流动负债和长期负债,资产是指企业总资产净额,是企业资产总额中扣除备抵帐户后的净额。例如:

某对外经济合作企业某年年终拥有资产总额20,058万元(扣除备抵帐户后的净额),负债总额为12,000万元,则该企业的资产负债率为;

它表明企业所负债务占其所拥有资产比例为59%,即企业每0.59的债务就有1.00的资产作为偿还保证。

资产负债率旨在分析资产结构中的负债比重,用以反映债权人所提供的资金占企业总资产的百分比。该指标比例越低,对债权人越有利,对债权人负债的安全保障程度就越高。反之该比率值越高,说明企业债权人获得的资产部分负债太大,固定的债务利息将使企业的利润减少,并且危及债务人的投资利益。

(4)资本金利润率

资本金利润率是指企业的利润与企业资本金之间的比率,反映企业生产经营成果与注册资本间的关系,综合考评企业的经济效益,资本金利润率的公式为:

利润是指对外经济合作企业在一定期间内的经营成果总额,它包括营业利润,投资净收益和营业外收支净额。为了反映企业的主要获利情况,利润可以仅指劳业利润那一部分。资本金是指企业在东道国的行政管理机关登记的注册资金,它分为国家资本金,法人资本金,个人资本金及外方资本金等。

例如某对外经济合作企业的利润总额为1,320万元,投入企业的资本金为22,000万元,则资本金利润率为:

它表明,投资者投入每投入企业1.00的资本金,在该年度可获得0.06的利润。

资本利利润率反映了企业投入资本金的成果,反映了企业的经营效率。资本金利润率越高,,说明该企业的资本增殖能力越强,投获者可获的收益就越多。在对外经济合作企业中,往往是总公司对分公司下达经营目标,进行内部考核的重要指标。

由于对外经济合作企业大都是股份有限公式的形式,所以在考核资本金利润率的同时还应考核净值报酬率、市盈率,每股股利。

❶ 净值报酬率

净值报酬率是指股份有限公司利润总额与平均股东权益的比率,其公式为

该比率越高,说明公司对股东的回报越高,公司的股票具有较强吸引力。反之,则出现相反的情况。

❷ 市盈率

市盈率是指股份有限公司股票价格与每股年盈利的比率。其公式为:

市盈率是衡量股票投资价值的一个重要指标,市盈率越低,该股票的投资价值越大,反之,则说明股票投资的价值小。

❸ 每股股利

每股股利是指股份有限公司股利总额与流通股数的比值,其公式为:

每股股利越高,则股东的收益也就越大,股票的价格也就攀高,从而给股东带来更大的收益。反之,由出现相反的方向。

(5)成本利润率

成本利润率是指企业的利润同成本之间的比率,它反映企业生产经营商品耗费用经济效益、其公式为:

利润是指企业在生产经营过程中实现的营业利,成本费用是企业为生产经营商品而发生的耗费,其中成本费用包括,直接材料费用、直接工资和制造费用。

例如某对外经济合作企业的营业利润为150万元,成本总额为415万元,则成本利润率为:

它表明对外经济合作企业每1.00的成本投入可以获得0.36的营业利润。

成本利润率指标反映企业投入产出水平,成本利润率越高越好,表明企业获利水平越高。反之,成本利润率指标越低,成本费用较高,利润较少,表明企业获利水平低。

随便看

 

离鸟网收录3541549条中英文词条,其功能与新华字典、现代汉语词典、牛津高阶英汉词典等各类中英文词典类似,基本涵盖了全部常用中英文字词句的读音、释义及用法,是语言学习和写作的有利工具。

 

Copyright © 2004-2024 vtrois.com All Rights Reserved
更新时间:2026/4/19 8:57:40