富马酸比索洛尔[中]
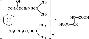
(C18H31NO4)2·C4H4O4=766.97 CAS-104344-23-2 1-[4-[[2-(1-甲基乙氧基)乙氧基]甲基]苯氧基]-3-[(1-甲基乙基)氨基]-2-丙醇(E)-2-丁烯二酸(2∶1)(盐)。 1-[4-[[2-(1-Methylethoxy)ethoxy]methyl]phenoxy]-3-[(1-methylethyl)amino]-2-propanol(E)-2-butenedioate(2∶1)(salt). (±)-1-[[α-(2-异丙氧基乙氧基)-对-甲苯基]氧]-3-(异丙氨基)-2-丙醇富马酸盐(2∶1)。异 (±-)-1-[[α-(2-Isopropoxyethoxy)-p-tolyl]oxy]-3-(isopropylamino)-2-propanol fumarate(2∶1)(salt). β-受体阻滞药。 Bisoprolol Fumarate,CL 297,939. USAN.  |