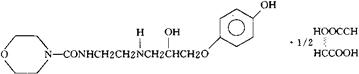
富马酸扎莫特罗
C16H25N3O5·1/2C4H4O4=455 (±)-N-[2-[[2-羟-3-(4-羟苯氧)丙基]氨基]乙基]-4-吗啉甲酰胺(E)-2-富马酸盐(2∶1)。 (±)-N-[2-[[2-Hydroxy-3-(4-hydroxyphenoxy)-propyl]amino]ethyl]-4-morpholinecarboxamide(E)-2-fumarate. 心脏兴奋药。用于慢性心力衰竭,特别用于气喘及疲劳症状使其活动受到限制的心衰患者。 Xamoterol Fumarate,Corwin,Sepan.  |