富马酸度奥哌隆
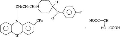
C28H26F4N2OS·C4H4O4=630.65 CAS-62030-89-1 CAS-62030-88-0(duoperone) (4-氟苯基)[1-[3-[2-(三氟甲基)-10H-吩噻嗪-10-基]丙基]-4-哌啶基]-甲基酮,(E)-2-丁烯二酸(1∶1)。 (4-Fluorophenyl)[1-[3-[2-(trifluoromethyl)-10Hphenothiazin-10-yl]propyl]-4-piperidinyl]-methanone,(E)-2-butenedioate(1∶1). 对-氟苯基1-[3-[2-(三氟甲基)吩噻嗪-10-基]丙基]-4哌啶基酮富马酸盐(1∶1)。 p-Fluorophenyl 1-[3-[2-(trifluoromethyl)phenothiazin-10-yl]propyl]-4-piperidylketonefumarate(1∶1). 抗精神病药。 富马酸多哌隆。 Duoperone Fumarate,AHR 6646. INN,USAN. 
|